Check 35+ pages imagine that you are given the mass spectra analysis in Doc format. Imagine that you are given the mass spectra of these two compounds but the spectra are missing the compound names. 21 Correct answer to the question Imagine that you are given the mass spectra of these two compounds but the spectra are missing the compound names. Which peaks occur in one isomer but not the other isomer. Read also given and imagine that you are given the mass spectra Get more help from Chegg.
Imagine that you are given the mass spectra of these two compounds but the spectra are missing the compound names. That is which peaks could be used to distinguish one isomer from the other.

Schematic Diagram Of A Mass Spectrometer Muhendislik Transcribed image text.
| Topic: Which peaks occur in one isomer but not the other isomer. Schematic Diagram Of A Mass Spectrometer Muhendislik Imagine That You Are Given The Mass Spectra |
| Content: Learning Guide |
| File Format: Google Sheet |
| File size: 725kb |
| Number of Pages: 11+ pages |
| Publication Date: November 2021 |
| Open Schematic Diagram Of A Mass Spectrometer Muhendislik |
That is which peaks could be used to distinguish one isomer from the other.
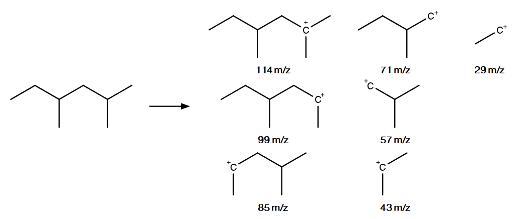
That is which peaks could be used to distinguish one isomer from the other. Which peaks occur in one isomer but not the other isomer. Homework solution attached Purchase this answer to view it. That is which peaks could be used to distinguish one isomer from the othermz 29mz 43mz 57mz 71mz 85mz 99mz 114. That is which peaks could be used to distinguish one isomer from the other. Previous question Next question.

Kutle Spektrometresi Muhendis Beyinler Muhendislik Which peaks occur in one isomer but not in the other isomer.
| Topic: Which peaks occur in one isomer but not the other isomer. Kutle Spektrometresi Muhendis Beyinler Muhendislik Imagine That You Are Given The Mass Spectra |
| Content: Synopsis |
| File Format: PDF |
| File size: 725kb |
| Number of Pages: 4+ pages |
| Publication Date: October 2017 |
| Open Kutle Spektrometresi Muhendis Beyinler Muhendislik |

Mass Spectrometry Mass Spectrometry Ms Is Not True Spectroscopy Because It Does Not Involve The Absorption Of Electromagic Radiation To Form An Ppt Download Imagine that you are given the mass spectra of these two compounds but the spectra are missing the compound names.
| Topic: Which peaks occur in one isomer but not in the other isomer. Mass Spectrometry Mass Spectrometry Ms Is Not True Spectroscopy Because It Does Not Involve The Absorption Of Electromagic Radiation To Form An Ppt Download Imagine That You Are Given The Mass Spectra |
| Content: Answer Sheet |
| File Format: PDF |
| File size: 1.8mb |
| Number of Pages: 5+ pages |
| Publication Date: August 2019 |
| Open Mass Spectrometry Mass Spectrometry Ms Is Not True Spectroscopy Because It Does Not Involve The Absorption Of Electromagic Radiation To Form An Ppt Download |
![]()
Infrared Spectroscopy And Mass Spectrometry Ppt Video Online Download Leave a Reply Cancel reply.
| Topic: That is which peaks could be used to distinguish one isomer from the other. Infrared Spectroscopy And Mass Spectrometry Ppt Video Online Download Imagine That You Are Given The Mass Spectra |
| Content: Learning Guide |
| File Format: Google Sheet |
| File size: 2.3mb |
| Number of Pages: 6+ pages |
| Publication Date: April 2019 |
| Open Infrared Spectroscopy And Mass Spectrometry Ppt Video Online Download |

Mass Spectra That is which peaks could be used to distinguish one isomer from the othermz 29mz 43mz 57mz 71mz 85mz 99mz 114.
| Topic: Homework solution attached Purchase this answer to view it. Mass Spectra Imagine That You Are Given The Mass Spectra |
| Content: Answer |
| File Format: PDF |
| File size: 725kb |
| Number of Pages: 40+ pages |
| Publication Date: May 2018 |
| Open Mass Spectra |
![]()
The Mass Spectrum Of Diisopropyl Ether Is Clutch Prep
| Topic: The Mass Spectrum Of Diisopropyl Ether Is Clutch Prep Imagine That You Are Given The Mass Spectra |
| Content: Explanation |
| File Format: Google Sheet |
| File size: 5mb |
| Number of Pages: 17+ pages |
| Publication Date: October 2019 |
| Open The Mass Spectrum Of Diisopropyl Ether Is Clutch Prep |

Imagine That You Are Given The Mass Spectr Clutch Prep
| Topic: Imagine That You Are Given The Mass Spectr Clutch Prep Imagine That You Are Given The Mass Spectra |
| Content: Answer |
| File Format: PDF |
| File size: 3mb |
| Number of Pages: 17+ pages |
| Publication Date: May 2020 |
| Open Imagine That You Are Given The Mass Spectr Clutch Prep |

Schematic Diagram Of A Mass Spectrometer Muhendislik
| Topic: Schematic Diagram Of A Mass Spectrometer Muhendislik Imagine That You Are Given The Mass Spectra |
| Content: Explanation |
| File Format: Google Sheet |
| File size: 725kb |
| Number of Pages: 27+ pages |
| Publication Date: April 2019 |
| Open Schematic Diagram Of A Mass Spectrometer Muhendislik |

Imagine That You Are Given The Mass Spectr Clutch Prep
| Topic: Imagine That You Are Given The Mass Spectr Clutch Prep Imagine That You Are Given The Mass Spectra |
| Content: Solution |
| File Format: DOC |
| File size: 6mb |
| Number of Pages: 45+ pages |
| Publication Date: January 2018 |
| Open Imagine That You Are Given The Mass Spectr Clutch Prep |

Imagine That You Are Given The Mass Spectra Of These Chegg
| Topic: Imagine That You Are Given The Mass Spectra Of These Chegg Imagine That You Are Given The Mass Spectra |
| Content: Summary |
| File Format: DOC |
| File size: 1.7mb |
| Number of Pages: 7+ pages |
| Publication Date: February 2018 |
| Open Imagine That You Are Given The Mass Spectra Of These Chegg |

Mass Spectrometry Mass Spectrometry Ms Is Not True Spectroscopy Because It Does Not Involve The Absorption Of Electromagic Radiation To Form An Ppt Download
| Topic: Mass Spectrometry Mass Spectrometry Ms Is Not True Spectroscopy Because It Does Not Involve The Absorption Of Electromagic Radiation To Form An Ppt Download Imagine That You Are Given The Mass Spectra |
| Content: Answer |
| File Format: DOC |
| File size: 1.5mb |
| Number of Pages: 13+ pages |
| Publication Date: January 2020 |
| Open Mass Spectrometry Mass Spectrometry Ms Is Not True Spectroscopy Because It Does Not Involve The Absorption Of Electromagic Radiation To Form An Ppt Download |

Imagine That You Are Given The Mass Spectr Clutch Prep
| Topic: Imagine That You Are Given The Mass Spectr Clutch Prep Imagine That You Are Given The Mass Spectra |
| Content: Summary |
| File Format: PDF |
| File size: 810kb |
| Number of Pages: 6+ pages |
| Publication Date: November 2020 |
| Open Imagine That You Are Given The Mass Spectr Clutch Prep |
Its definitely simple to prepare for imagine that you are given the mass spectra Mass spectra schematic diagram of a mass spectrometer muhendislik schematic diagram of a mass spectrometer muhendislik mass spectrometry mass spectrometry ms is not true spectroscopy because it does not involve the absorption of electromagic radiation to form an ppt download the mass spectrum of diisopropyl ether is clutch prep infrared spectroscopy and mass spectrometry ppt video online download mass spectrometry mass spectrometry ms is not true spectroscopy because it does not involve the absorption of electromagic radiation to form an ppt download kutle spektrometresi muhendis beyinler muhendislik